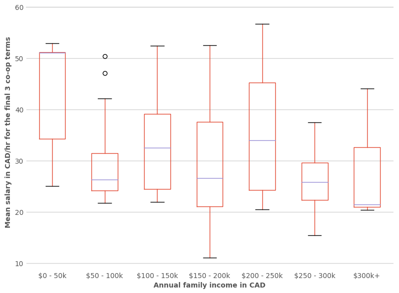
Sometimes a yearbook doesn’t quite cut it. In our final semester of university, the Systems Design Engineering class of 2017 was curious and wanted to dig a little deeper. We wanted something that captured our five years at the University of Waterloo and could give a sense of who we had become. What resulted was an in-depth survey, asking questions that covered everything from co-op salaries to love lives, from family origins to dreams for the future. 94% of the 82 students participated, resulting in a complete and comprehensive profile of our class. Here are a few highlights from our class profile (or see the ): full version Co-op drives the Canadian brain drain By the final co-op term, over 40% of the class was working in the US [ ]. One driving factor was likely the massive salary gap between US and Canadian jobs, with Canadian salaries averaging $25.40/hr CAD, while those in the US averaging almost twice that at $49.40/hr CAD [ ]. This gap is in part due to the significant exchange-rate boost (1 USD = 1.31 CAD at time), but is also due to the increased demand for software roles in the US. slide 9 8 “Gaining financial independence was important to me and US jobs generally paid more, so that was the main thing that attracted me” explains Juliet, who did two co-ops in the Bay area and one in New York. She also added that she “wanted to gain experience from the best in the industry” which is commonly believed to be concentrated in those two places. However, money was not always the primary motivation. “I’ve always thought it’d be cool to work at one of the big tech companies”, said Arya, who did two co-ops in the Bay area. “Money was part of it, but it was more the chance to be working where I thought I’d learn the most and be around the most experienced people.” This trend carries on to students’ choice of full time jobs, too. As of two months before , over half the class had secured a job, 60% of which were in the US (note that US companies tend to do their new graduation recruiting earlier than Canadian companies) [ ]. graduation 80 Notably, 65% of students with a full time job are working at a company that they had done a co-op at [ ], suggesting that the pull to full-time work in the US is partly driven by students’ prior co-ops in the US. Martin, who did his final co-op at Amazon in Seattle, will be returning full time. “I took the offer they gave me at the end of the internship. I had different criteria for the kind of company I wanted to work for, and having already done an internship there, I knew that Amazon fit a bunch of them, like high pay, a product I believe in, a culture I feel comfortable in, and a city I like. I really liked Seattle.” 79 University was a time for many firsts More than two thirds of the class tried at least one new drug (including alcohol) during university: 23% drank alcohol, 23% smoked tobacco, and 33% smoked marijuana for the first time. Outside of these three, Adderall, MDMA, LSD and mushrooms were also popular, with at least 10% of the students having tried each [ ]. 56 Sex was also something new for a lot of students. 50% of the class lost their virginity during university (70% had never had sex before) [ ]. 51 Students self-funded and are near debt-free 42% of students paid for over 80% of their university expenses themselves [ ]. The majority of these students were from families with a household income of $150k CAD or less, suggesting that co-op was likely the dominant source of income for most students. This was true for Aiden: “Usually when it was time to pay for tuition, I paid using the money I earned from co-op from the previous term. I didn’t really need to rely on OSAP money but a little bit of it helped me have a comfortable lifestyle. Overall, school was expensive but having solid income from co-op made it manageable.” 75 Along the same lines, 47% of the class graduated completely debt free [ ]! However, while co-op was likely a contributing factor, the dominant reason appears to be familial income. 100% of students with familial income of greater than $250k CAD had zero debt, while only 14% of those with familial income of less than $50k CAD were in the same position [ ]. 73 74 Half sought some form of mental health support Of those who sought support, a quarter used engineering or university counseling services, and 60% looked to family and friends [ ]. 1 in 3 students sought help for anxiety, and 1 in 4 for depression [ ]. This is consistent with the broader discussions around mental health on Canadian university campuses, highlighting the need for more resources. 59 58 High income families, not so high income students Students from the top 10% wealthiest families ($300k+ CAD) had annual household incomes over 6 times greater than those of students’ families from the poorest 10% (<$50k CAD) [ ]. However, students from the poorest families earned on average 40% more than students from the wealthiest families during the later co-op terms: $36.30/hr CAD compared to $26.10/hr CAD [ ]. 66 10 This could be because students from the poorest families had to rely more heavily on co-op as a means to pay for education expenses, leading them to actively seek out and prioritize higher paying jobs. This was the case for one of our classmates: “I wanted to do more research co-ops, but instead decided to work in industry because it paid a lot more. I was in a position where I didn’t get a lot of financial support, so that’s what it came down to.” On the other hand, students from more affluent backgrounds may have been in positions to make their co-op decisions on a wider variety of factors, and with lower priority on salary. Systems Design Engineering 2017 class profile We could only include a small portion of the results here. For a full view, covering co-op, school, social life, sex and drugs, mental health, family background, and our plans for the future, take a look at the profile. It is both embedded below and available as a . pdf here We hope you enjoy it! Let us know what you think; give us (Atef and Joey) a shout at chaudhury.atef@gmail.com and hello@joeyloi.com. <a href="https://medium.com/media/9814a5aebc69601395412584cf5fad81/href">https://medium.com/media/9814a5aebc69601395412584cf5fad81/href</a>