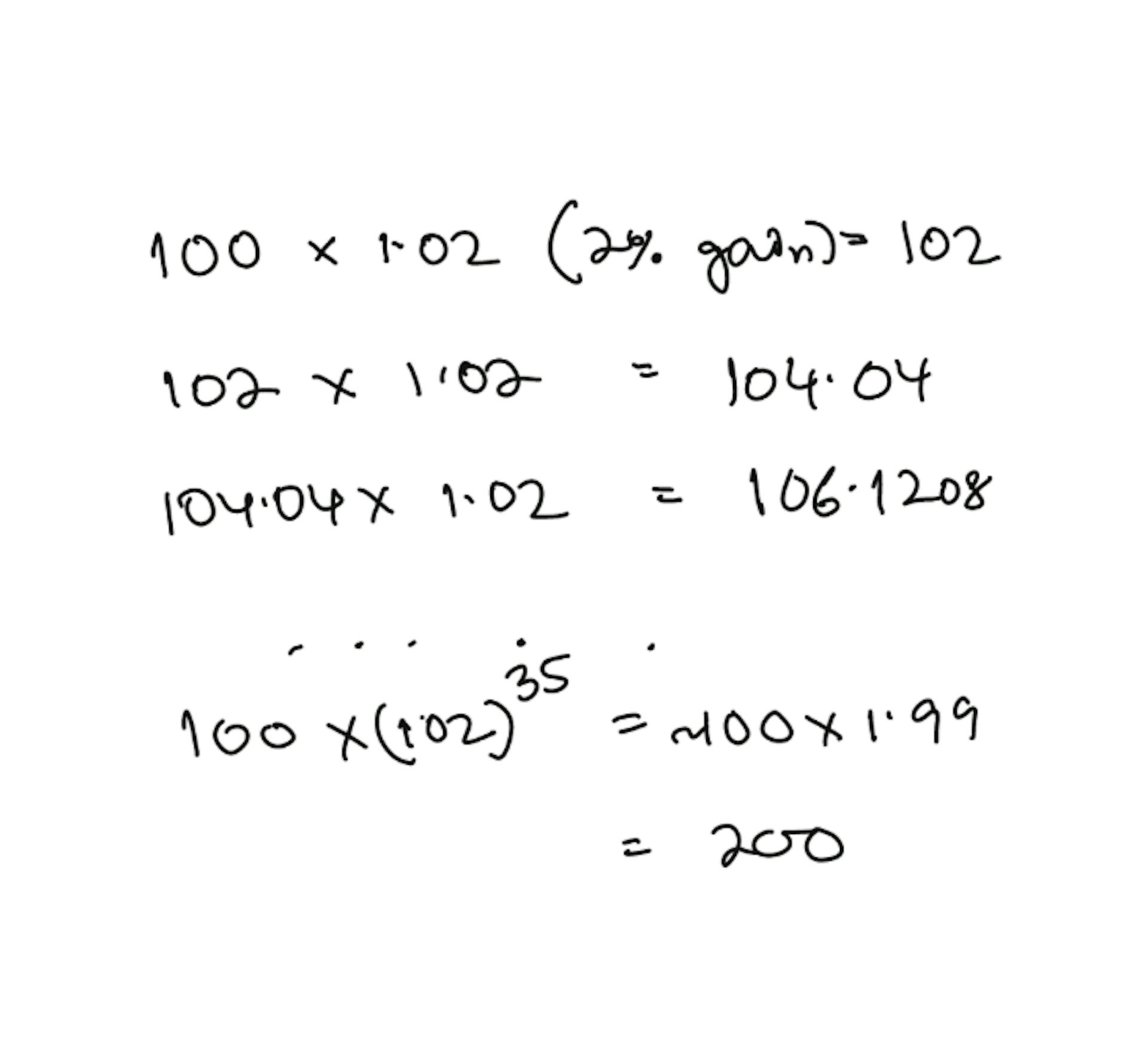
Despite some of the FUD in the market, there are endless possibilities when it comes to cryptocurrency trading. As we describe on our CoiningSignals technology page, there is potential for both long term HODL trading, as well as short term swing trading in the cryptocurrency market. With cryptocurrency still being at the ground floor in terms of technology and adoption, reputable coins have the potential to gain significantly in long term. That’s not your only option, though, as there are also huge opportunities to gain in the volatile short term cryptocurrency market because of new technology and uncertainties. CoiningPortfolio and Portfolio Marketplace For traders who want to be successful again and again, one of the most important keys is discipline. You need a plan and you need to build a portfolio that allows you to diversify your risks. CoiningPortfolio helps you create a well-balanced portfolio that’s tailored towards your timeframe, your risks, and your availability. It considers long term, medium term and short term time windows for creating a diverse portfolio. Long term coins are ones with potential in the more distant future, while medium term coins are coins with huge potentials within next few days, weeks, and months. Short term coins are for swing trading to gain quick profits. The CoiningPortfolio feature of CoiningAI can help you create a diverse portfolio after you pay a one-time fee using for a lifelong service. Based on a user’s time and availability for crypto trading, as well as the amount of risk a user is willing to take, our CoiningPortfolio system will guide the user through the process of building a portfolio for long-term, medium term and short-term investments. our coin After building the portfolio, users can subscribe to the coins with our Signals product, which tracks coin historical price, trading indicator values, and social buzz, and uses an AI / Deep Learning system to notify users when it’s the best time to buy and sell. However, users can also utilize the CoiningPortfolio without subscribing to our Signals product. Building a portfolio is also a requirement for using our CoiningBot, which automates trading to build a long term portfolio while also gaining profits from medium and short term portfolios. Finally, CoiningPortfolio will also have a Portfolio Marketplace. This will serve as a place where users publish their portfolios for others to see. We will show a user’s historical performance by taking the average of all the portfolios they publish, as well as their user ratings. If another user wants to use that portfolio, they will pay a monthly fee to the creator using , with a service charge to CoiningAI. our coin CoiningAI itself will also build a long-term portfolio every month and release it for free. Users can directly use that portfolio for long-term investing. Building your portfolio using CoiningKit You can also build your portfolio with CoiningKit, our free to use suite for helping investors stay ahead of the market. Traders who take the time to learn how to use these tools will develop better cryptocurrency trading strategies. Understanding the manual process of building a portfolio will also help you create a better portfolio with our CoiningPortfolio tool. For “safer” long-term investments, use our Coin Ranking and Social Rankings tools Investing in reputable coins can lead to long term gains. Ideally, you should invest in the top coins and HODL for at least a year, though six months will suffice for some coins. Long term investment has been proven successful by numerous investors across the media, Twitter, and Reddit. Here is one: Source: http://www.buyholdlong.com/2018/01/15/if-you-invested-1000-this-time-last-year-2 / It’s important to remember that, while it is not guaranteed that upcoming years will offer the same return on investment as past years, long term investing is ideal for investors who can’t regularly check cryptocurrency prices. Even if they suffer a significant price drop in the interim, the price will go up eventually, earning you a profit. However, if you need your money back soon, investing for the long term is not a wise decision. Finding the best coins with prospect Using the suite of CoiningKit, you can find coin ranking and social ranking to guide you on investing in the top coins with the most prospect. Our shows top coins in terms of market cap (based on current supply), normalized price (based on total supply) and trading volume. Our combines news, YouTube and Twitter buzz, active Reddit users, and Exchange adoption to sort the coins. Coin Ranking Social Rank Screenshot taken: March 4, 2018. Coin Ranking (left), Social Ranking (right) The screenshot seen here is from the time of this writing (March 4, 2018). The 20 coins (left) from coin ranking at this time are: BTC, ETC, XRP, BCH, LTC, NEO, XLM, ADA, EOS, XMR, ETC, DASH, TRX, USDT, ZEC, VEN, XEM, QTUM, IOTA, and DGD. The top 20 coins (right) form social ranking at this time: BTC, ETC, LTC, XRP, NEO, BCH, XMR, DASH, TRX, EOS, ETC, ZEC, ADA, XLM, VEN, XEM, BTG, OMG, QTUM, and XVG. You can use any strategy to select the top coins you want to invest in for the long term. Essentially, if you combine these two lists, you will get a list of coins that are great candidates for long term investing. Once you’ve picked the top coins, do on those coins to select the ones you actually want to invest in. coin research One strategy could be that you find the the coins located in the top 5, the top 10, and the top 20 of both lists and choose from those. For example, if you select coins in the top 5 in both lists, you will find BTC, ETC, XRP, and LTC. Now, you choose 3–4 coins from that list. After doing the fundamental research, let’s say you want to invest in all of them. Now, you select the top 10 coins in both lists. This gives us: BTC, ETC, LTC, XRP, NEO, BCH, XMR, DASH, TRX, and EOS. Select 3–5 coins from this list that are not in you first list. After doing your fundamental research, you select: NEO, XMR, DASH, EOS. Next select top 20 coins in both lists. This gives us: BTC, ETC, LTC, XRP, NEO, BCH, XMR, DASH, TRX, EOS, ETC, ZEC, ADA, XLM, VEN, XEM, QTUM. Select rest of the coins you definitely want to keep in your long term portfolio after doing your fundamental research. Let’s say you choose: ADA, XLM, XEM, QTUM, TRX, VEN. If that strategy doesn’t appeal to you, another good strategy would be to invest equally in all of these coins. As you can see from last year’s coin market cap top 10 that some coins are no longer on the list. Thus, you want invest in the coins that are established and have more potential in long term. We suggest a split that consists of 40% of coins from the top 5, 30% of coins from the top 10, and 30% from the rest of the coins. You can change the distribution depending on your preference and based on what you learned during fundamental research. Remember, if you have a low budget, you probably want to pick primarily from the top 5 and top 10 to somewhat reduce your risk. With this strategy, from your selected coins, 40% will consist of BTC, ETC, XRP, LTC; 30% of NEO, XMR, DASH, EOS; 30% of ADA, XLM, XEM, QTUM, TRX, VEN. You can split equally for coins in each segment, or you can redistribute based on your preference. Equal splitting in each segment would give us: 10% BTC, 10% ETC, 10% XRP, 10% LTC, 7.5% NEO, 7.5% XMR, 7.5% DASH, 7.5% EOS, 5% ADA, 5% XLM, 5% XEM, 5% QTUM, 5% TRX, 5% VEN. After doing fundamental research, you may decide on a different distribution: 12% BTC, 12% ETC, 8% XRP, 8% LTC, 7.5% NEO, 7.5% XMR, 7.5% DASH, 7.5% EOS, 7% ADA, 7% XLM, 6% QTUM, 5% XEM, 2.5% TRX, 2.5% VEN. Because of the volatility of the cryptocurrency market, you should run this process over several days so you can track which coins regularly appear on the top coins list. Furthermore, you’ll want to go through this exercise every few months so you know your portfolio is up to date. Investing in the coins When you finally decide on the coins you want to invest in, it is best to buy when the price is at least below the moving average of 20 / 50 days and the price is going up.You could also use more advanced technical indicators like to find when the price is low and when it starts to pick up. ( — Moving Average Convergence Divergence). RSI and Bollinger Band MACD Alternatively, you can also use our Signals product to get a notification when it’s a good time to buy based on our advanced artificial intelligence (AI) system that uses particular coin’s historical price, trading indicators (Bollinger Bands, RSI, MACD, etc), the historical price of all coins, social buzz and change in social buzz information. Good buys (left) and Alt-coins prices less than $1 (right). Screenshot taken March 5. 2018. For medium term investments, use our Good Buy list, Alt-coin list, Coin Ranking, and Social Ranking If you’re looking for medium term investments, you should invest in coins that look like they have a lot of potential and hype now. With this strategy, you are NOT committing to long term investing because you, and nobody else, knows if everything promised for a coin will materialize. However, because these coins have potential for a pump in price, you want to benefit from it and take out your profits in fiat money. Identify prospective coins from our good buy list are coins with very good volumes, but with a normalized price that is not too high. For our good buys list, we are considering coins that are not in the top 10 and that have a minimum volume of 0.1% of Bitcoin’s trading volumes. Good coins to buy While you can buy some coins from this list because of their potential for price increase based on trading volumes you should monitor the coins for a few days to watch out for pump and dumps and ensure that the coins are legitimate. Identify prospective alt-coins less than $1 Prospective are coins with very good trading volume (lower threshold than our good buy list), lower normalized price, and a coin price less than $1. These coins often fool traders because of their huge supply, which makes the price less than $1. The huge supply means the price could easily multiply and make 2x, 5x, 10x, 100x, or even 1000x returns. alt-coins to buy However, these are the riskiest coins as well because many of them suddenly get huge market caps and when people start to realize that, the price drops significantly. Thus, you are ultimately trading with market psychology here. You could gain a significant amount, but you could also lose a significant amount if you do not get out before everyone else. For that reason, if is very important that you sell periodically to lock in gains at every level. Identify prospective coins from Social Rank list Our combines news, YouTube and Twitter buzz, active Reddit users, and Exchange adoption to sort the coins. Social Rank In Social Rank page, we have something called Rank difference, which we calculate by taking the difference in ranks between Social Rank ( ) and current coin rank ( based on market cap, trading volume and normalized price). http://xai.coining.ai/social.html http://xai.coining.ai/coins.html This difference tells us if the ranking based on social buzz is different from the current Coin Rank. Note there is also a rank difference on the Good Buy list, which also means positive ranks are better, but it’s different from the Social Rank list. Here, we are talking about rank list in social ranking page. Essentially, the Social Ranking gives a sense of overpriced and undervalued coins in general. At the same time, if something picks up on all social platforms, there is a high chance that the price will increase in the coming hours or the coming days. You want to find the coins with significant positive rank difference, such as those that have a lot of social buzz that has not been materialized in the price just yet. Finalizing the coins The good buy list, alt-coins list, and Social Rank all give you good prospective coins to buy. Ideally, you want to select the coins that appear either on the good buy list or on the alt-coins list and also have good social buzz (on the top 20 or top 50 of our social lists). However, you can’t just invest blindly based on these lists. It’s crucial that you do your research on each coin. These tools give you a short list to start from, but you’re tasked with finding out which of the coins have an actual potential by clicking on the coins and checking our coin detail page with News, YouTube, Reddit, and Twitter resources. Only after you are convinced that a coin has potential should you consider buying it. This strategy can be used for the top coins ( ) as well. In our Signals page, we detailed how an established coin like Bitcoin didn’t experience a major price change over three months, but had opportunities to almost double your investment twice in that time period. If you used it for medium term swing trading, you could easily multiplied your investment. http://xai.coining.ai/coins.html Ultimately, you want to buy a portion of the top coins for long term, as well as some additional coins to lock in periodic profits. Trading the coins When you finally decide on the coins you want to invest in, it is best to buy when the price is at least below the moving average of 20 / 50 days and the price is going up. You could also use more advanced technical indicators like to find when the price is low and when it starts to pick up. ( — Moving Average Convergence Divergence). RSI and Bollinger Band MACD Alternatively, you can also use our Signals product to get a notification when it’s a good time to buy based on our advanced AI system that uses particular coin’s historical price, trading indicators (Bollinger Bands, RSI, MACD, etc), the historical price of all coins, social buzz and change in social buzz information. Next, you decide what is a decent profit for you — it could be 30% or 50%, or it could be a few multiples — 2x, 3x, 5x, 10x. The amount of profit that is good for you is different than other users and depends on factors such as your budget, your level of risk, and the time you want to spend in the market. As soon as you lock in a decent amount of profit, it’s time to sell some. You do not want to wait for a significant increase, such as 5x, to sell all of it. It could get to 4.8x and then dip again, costing you some of your profits. To prevent this and earn the highest return, you want to make periodic profits. Because of this, it’s crucial that you define your levels. Let’s say you decide that your levels are 30%, 50%, 100% (2x), 3x, 5x, 7x, 10x, 15x, 20x, 50x, and 100x. Every time the price reaches a level or around that level and if you see from technical indicators or our Signals product that the price is going down, you must sell some. Swing Trading for some quick gains with short-term investments. As we explained in our Signals product description, one key secret of day/swing traders is that it’s not necessary to find the perfect peak and perfect bottom. You can easily double your money with consistent, smaller gains. Let’s say you can make 2% profit for 35 trades, meaning just one trade with 2% everyday for slightly more than a month. In this instance, your money will double (100% gain) because of the beauty of the compound interest. As Benjamin Franklin famously said about , “Money makes money. And the money that money makes, makes money.” compound interest Identifying the coins Ideally, you should select the coins you picked out during the earlier exercises. However, it’s important to remember that for swing trading your goal is not to make significant gains, but to make consistent gains. If your prediction does not work out for some reason, you need to accept your losses and move on to the next trade, not cling to a failing coin. When looking to swing trade, you should also watch for a high trading volume, otherwise you could be stuck with that coin. All of our lists (coin ranking, good buy, alt-coin) consider trading volume, so if your selected coin appears on the top 20 or top 30 in those lists, you’re likely to be okay. Another thing to remember is that you have to pay a transaction fee and a small portion of the coin will not be tradable when you sell it. This is because there is a minimum number of units for each coin that is tradable. After the exchange charges the trading fee, you end up with a small portion that can not be traded back immediately until you accumulate enough. If you are trading only between good coins, you are accumulating those coins too, meaning you have another coin you can potentially sell down the line. However, you definitely don’t want to trade with coins that you are not interested in or else you risk being stuck with them. Trading the coins You can learn about swing trading and technical indicators to be successful in swing trading. Alternatively, you can use our product CoiningAI Signals, which tracks coin’s historical price, trading indicator values, a coin’s social buzz, the historical prices of all coins, and uses an AI / Deep Learning system to tell you when it’s the best time to buy and sell. Combining Strategies How do you combine these strategies? You divide your resources into 3 buckets for 3 of these strategies, then you divide how much you want to invest using each strategy. Here are some use cases and how you could invest. You change the numbers based on your priorities and style. For someone who is very busy and just wants to invest and forget. Use case 1: Put 100% of your money for long-term “safer” investment strategy. Only invest the money you are willing to lose. For someone who is busy and does not have time to monitor coins frequently, but can check every few weeks or even months. Use case 2: Put 60% of your money for long-term “safer” investment strategy, and 40% of your money for medium-term investments. For someone who is very interested in cryptocurrency trading and can monitor frequently, but is not a big risk taker. Use case 3: Put 30% of your money into long-term “safer” investments, 50% of your money in medium-term investments, 20% of your money in short-term investments with quick gains. Change these numbers based on how much you are willing to risk. For someone very interested in cryptocurrency trading and can monitor frequently, while also being a big risk taker. Use case 4: Put 30% of your money in long-term “safer” investment strategy, 40% of your money in medium-term investments, and 30% of your money in short-term investments with quick gains. You can change these numbers as you see fit for yourself. In summary, if you cannot dedicate time to frequently checking prices, you should choose some good coins, diversify your risks, and look the other way. If you can monitor coins regularly, you can put a little more money in medium term and short term coins and take out periodic profits in fiat and keep a decent portion for long term. If you are a risk taker and can manage regular time to do the trading, invest more on short term swing trading. How to take out profits: You always want to periodically take profits and reinvest some of them. Here is one recent price example from late 2017 to early 2018. Bitcoin was priced around $20K, and say you had a profit of $5K at that time. Bitcoin price then dropped to around $10K and now your profit is around $2.5K! For good coins the price might go up again, but you want to be ready for any crash scenario. You can do it if you always periodically take out profit in fiat currency. Here is a suggestion on how to take out your profits in fiat. Always take out 50%-80% for fiat and invest back the rest. One example scenario with 50% fiat withdrawal. Profits from short term: 50% take out as fiat 25% reinvest in short term coins 12.5% invest in medium term coins 12.5% invest in long term coins Profits from medium term: 50% take out as fiat 25% reinvest in medium term coins 25% invest in long term coins Profits from long term: 50% take out as fiat 50% reinvest in long term coins Final Tips: NEVER INVEST MORE THAN YOU ARE WILLING TO LOSE. Diversify your portfolio to diversify your risks. You MUST do your fundamental research to find out if its a good coin to invest in for long term, medium term and short term gains. Do not invest in a coin until it has decent trading volume and acceptability in the market, unless you are very sure. For average traders, this means ICOs should be avoided in most instances.. You should also do some technical analysis to find out if its a good time to buy the coin, e.g. you can use , , or another indicator. You don’t want to buy a coin when it’s at its highest price or when the price is going down. Learning how to use these technical tools can help you make a better decision on when to buy or sell. Alternatively, you can use our product CoiningSignals to receive buy / sell notifications. RSI Bollinger Band MACD Today, Bitcoin is worth $20K and let’s your say your profit is $5K. Tomorrow, if Bitcoin is $10K, your profit drops to $2.5K. Bitcoin price will go up eventually, but for many coins that won’t be the case. And even for Bitcoin, it can sometimes take several months to reach the earlier ATH (all time high). You do not want to lose your profit by being too greedy. Always, always periodically take your gains and convert them to fiat money. Investing in cryptocurrency is a lot like investing in traditional stocks. There are several basic steps you can take to ensure you make a profit, including diversifying your portfolio, taking regular profits, and doing your research. CoiningPortfolio, as well as our other tools, can help you build a portfolio that works for your time, your level of risk, and the amount you’re looking to invest. It’s the easiest and most intelligent way to create your your cryptocurrency portfolio. About Coining.AI Coining.AI is an Artificial Intelligence and Blockchain Driven Cryptocurrency Trading Platform that provides users with tools such as , coin , suggestions, and . With these tools, we help cryptocurrency investors stay one step ahead of the rest of the market. Furthermore, Coining.AI provides access to trading signals, builds short term and long term crypto portfolios, trades using blockchain based trading bots, and features a blockchain based trading bot marketplace. These features allow investors to automate their cryptocurrency trading activity and lock in maximum profits. coin rankings social buzz rankings short-term good buy detailed coin and token information These CoiningAI products help solve many of the aforementioned problems facing cryptocurrency investors today. Our collection of coin rankings and lists make it easier for investors to know coins that are overvalued and undervalued, while our aggregation of news and social media information help investors stay on top of the fast-paced cryptocurrency industry. By using advanced NLP (Natural Language Processing) technologies, our proprietary platform analyzes and ranks social media streams, market movements, conversations, and more. Our platform also applies Deep Learning (Artificial Intelligence) algorithms to those datasets, and monitors historical coin prices and technical indicators. With that technology, we are able to provide accurate and timely signal intelligence to our users, allowing for decision making and trading. What makes us unique We are the first Blockchain based crypto trading bot marketplace. We monitor and extract data using state-of-the-art NLP technologies, along with historical coin prices and technical indicators. Data scientists build the prediction model without needing to worry about building a state-of-the-art system to aggregate appropriate social buzz. All of our other pieces (coin ranking, signals, portfolio builder) help build a better trading bot that doesn’t just trade for short-term profits, but rather one that takes advantage of cryptocurrency still being at the ground floor to build a long-term portfolio. A portion of the money we raise and the profits we generate from our platform will go towards social ventures such as empowering struggling families, empowering and helping women join cryptoland, and other social ventures. CoiningAI Products CoiningKit — Use CoiningKit to be one step ahead of the rest of the market. The crypto market can be incredibly overwhelming to new investors, and even some seasoned investors. With so much information, so much data, and so many coins, it’s hard to know what’s legitimate and what’s not. CoiningKit provides coin rankings, coin social buzz rankings, short term good buy suggestions, and access to detailed coin and token information, and many other tools for traders to be one step ahead of the rest of the market. Read more. CoiningFeed — Use CoiningFeed.com to have all of the latest crypto news and social posts at your fingertips. When investing in crypto, having your finger on the pulse of the latest news and information is crucial. A successful investor must always stay informed, but with so much information available, it’s hard to know where to look to find those details. CoiningFeed serves as a one-stop location for all of the top crypto news, Tweets, Reddit pages, videos, and more. Read more. CoiningSignals — The most intelligent tool for cryptocurrency investing. CoiningSignals is a cryptocurrency trading tool that uses artificial intelligence and machine learning to keep investors informed. By analyzing factors such as social media sentiment, historical pricing and technical indicators, CoiningSignals is able to accurately predict if a coin’s price is going to rise or fall, and notify investors of when they should buy or sell. The proprietary CoiningSignals platform is intelligent and accurate, ensuring that users always get the most return on their investment. Read more. CoiningPortfolio — The most versatile way to create a well-balanced cryptocurrency portfolio, and share it on the Portfolio Marketplace. Diversifying your holdings is key for any investor, whether it’s cryptocurrency or stocks. With CoiningPortfolio, we help you create a well-balanced portfolio that’s tailored towards your timeframe, your risks, and your availability. CoiningAI’s portfolio tools are crucial to locking in profit and being a successful, risk-averse cryptocurrency investor. Additionally, the Portfolio Marketplace will allow users to share their custom portfolios with other CoiningAI investors, opening up access to diverse trading portfolios to all users, and offering creators another way to profit from their cryptocurrency interest. Read more. CoiningBot — The complete trading bot with advanced technologies and a portfolio builder. CoiningBot is the most advanced trading bot on the market. By using the existing CoiningAI Natural Language Processing (NLP) and Deep Learning technology, CoiningBot is able to analyze the latest social media data and the most recent news, putting it far ahead of other trading bots. We use our intelligent Tools, Feeds, Signals, and Portfolio Builder platforms to help make trading easier for you. CoiningBot is perfect for skilled and novice investors alike and can help anyone build a diverse, and most importantly, profitable portfolio. Read more. CoiningBot Marketplace — Most advanced blockchain based trading bot marketplace to combine the best of CoiningAI’s state-of-the-art platform and the best data scientists around the world. The Blockchain based CoiningAI Trading Bot Marketplace takes the incredible artificial intelligence and natural language processing platforms that make our CoiningBot so powerful, and makes the realtime coin price and social buzz data available to the best data scientists around the world to build other powerful bots. This gives the investors in our platform more options to choose from. CoiningBot Marketplace is perfect for skilled and novice investors alike and can help anyone build a diverse, and most importantly, profitable portfolio. Read more.