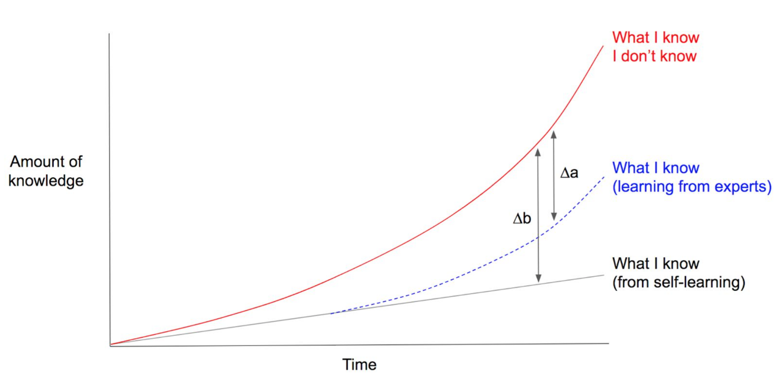
It’s my last week with Monk’s Hill Ventures before I head to Harvard Business School. I have a lot to be thankful for — a fantastically , a growing ecosystem that offers many learning opportunities, and two tremendous mentors who demand results but accord autonomy and responsibility in abundance. A big thanks to Peng, Kuo-Yi and the MHV family. diverse team Today I’d like to share some things I’ve learnt from them. Things they don’t teach in b-school. 1. GIVE EARNESTLY, BUT GIVE IN A SUSTAINABLE WAY. MHV started deploying capital about 2 years ago. Prior to this, Peng had founded a few category-defining companies in the US before he became a partner at GSR Ventures in China. Kuo-Yi had been busy with a few of his own startups before heading up the US$200M Infocomm Investments fund (they invested into Reebonz and Twilio). So they both came on the scene as accomplished entrepreneurs and investors, but were still the new kids on the block with no track record of scaling companies in Southeast Asia. To compete, they took a long-term view — the mantra of “give before you get”. Herein lies the genesis of MHV. Entrepreneurs backing Entrepreneurs. And till today, we’re still giving. Because giving is in our DNA. I can ramble on about our startup workshops and community-building initiatives in the Valley and SEA, but I’ll focus on two things — our program and our willingness to stick with the best entrepreneurs through tough times. CS Leaders CS Leaders, our scholarship program, funds eligible computer science students at UI (Universitas Indonesia) and ITB (Institut Teknologi Bandung). We have awarded 25 scholarships to date. The aim is to promote talented individuals and help the tech industry grow through top talent acquisition. We’re very excited to see how these fresh grads will change Indonesia for the better. As for sticking with entrepreneurs we believe in, is a case in point. Kuo-Yi met up regularly with Chang Wen during his days, offering help and advice before the idea of NinjaVan and tech-enabled logistics was even conceptualized. Lo and behold… smart, purpose-driven people will always find the right problems to solve. Stick with them. NinjaVan Marcella So while giving gets us on the radars of talents and founders, we also hope that our bias to give gets us access to top talents and to allocations in funding rounds. We want to help people, not give the whole enchilada for free. In his book , Adam Grant made a riveting point: if we look at givers and takers, it appears that givers are both the least and the most successful people we know — the difference being that unsuccessful givers burn out by giving totally selflessly while successful givers sustain giving by keeping their own interests in the rearview mirror. Give and Take What I found pleasantly surprising from my personal observation is that our (arguably) most outstanding founders, who can get away with asking us for tons of stuff, are the people who have been most grateful for our help and most active in helping MHV as we grow our business. 2. OBLIGATE TO DISSENT; AVOID GROUPTHINK. At MHV, we cultivate a culture of thinking against the grain. We largely ignore the ballyhoo of releases on mainstream tech media. We are not interested in party rounds. We work hard but don’t lose sleep trying to chase everything. There are many who don’t agree with us. They want to be in the hottest deals and don’t care what they pay. That sort of strategy might work but it depends on both luck and timing. At MHV, we focus on valuation and invest at prices that make sense to us. We model how the investment will be worth 10x our entry price in 6–8 years. is over-glorified by those moments of discovering the most sought-after deals and pushing through a tight turnaround to get into them. Typically, the founders have just convinced a high-profile investor to lead the round, and a queue forms. This “fear of missing out” prompts irrational decisions, which we’d like to avoid. We are not hostages to the dynamics of a funding round. VC Internally, we encourage individualism in our investment calls. When it comes to decision-making in VC, strength comes not in numbers, but in diversity of thought. Everyone is obligated to dissent and to justify. I have, on several occasions, made comments that were obliterated by other members of our team. I shrug it off, LEARN, and move on. The key is to foster an environment where no one is cowed into consensus and intellectual ego doesn’t get in the way of people dissenting. Pattern recognition is important, but we can’t be beholden to the patterns we’ve developed. 3. IF YOU’RE BELOW THE PARTNER LEVEL, FOCUS ON REDUCING TYPE I ERROR. One of the greatest values that anyone below the partner level can bring to their VC fund is proprietary deal flow. The key is deciding which deals to pitch to the partners. As a gatekeeper, you need to balance the moments with a keen dose of cynicism, i.e. you don’t want to waste the partners’ time on uninteresting deals. Let me explain. omg-I-think-I-found-something Assuming the table above shows a rough breakdown of my deal flow, I’m always trying to reduce Type I errors (“errors of omission”) and Type II errors (“errors of inclusion”). But what I’ve come to believe in is this: the big hits you don’t pitch to the partners can hurt the fund more than the s*** deals you pitch to them. Avoiding Type I errors is more crucial than avoiding Type II errors. Kuo-Yi once told me, “it’s easier to say no than it is to say yes”. I’ve found this to be true. At the associate/principal level, saying no to deals is far easier and less meaningful than being able to identify the deals that should be seen by the partners. Note to self: when unsure, get a second opinion — because a fund is defined by its hits, not its misses. 4. DRIVE OWNERSHIP, BUT LET THE FOUNDER BE THE FOUNDER. There are two schools of thought in the VC industry in SEA. On one hand, some VCs believe that the nascent ecosystem lends itself to ‘spraying’ and spreading bets — they think this is the best way to capture vertical leaders yet to emerge. At MHV, we’re on the flip side. We think the ‘spray’ approach is neither capital efficient for investors nor favorable to startups. Instead, we drive ownership. This means we don’t need a herculean outcome to have made a worthwhile investment. For our companies, it means we’ve pledged to being in the trenches with them and are not curbing the definition of success. From observing both Peng and Kuo-Yi, I’ve learnt that there are times when a VC should intervene, but mostly at inflection points focused on path correction instead of intellectualizing on trivial details. Let the founder be the founder, but be there when they need you. 5. DEAL ISN’T DONE UNTIL IT’S DONE (AND BE AT PEACE WITH LOSING). Probably the toughest pill I’ve had to swallow on this job. Even after supporting a founder and negotiating terms for weeks, you can never be sure of sealing the deal before the ink has dried. It’s harder to convince someone to take your money than it is to identify a good investment. The truth is we have lost several deals, particularly when we don’t see the need to be ruled by the competitive dynamics of a funding round (i.e. used as a bargaining chip). There is however, one occasion in which I feel we could’ve done better — we lost this deal to a company board vote, which went 3–2 in favor of the competing VC (who was offering a higher valuation). Peng told me, “venture investing is ”. This struck a chord with me. I should’ve done more. I should’ve known this was a competitive round. I should’ve reached out to key board members to clearly articulate the value we could bring to the company. I should’ve sold better. It’s OK though. You lose some. complex sales MHV has an anti-portfolio of sorts — the ‘could haves’, the ‘should haves’ and (thankfully) the bullets we dodged. We talk about them. We analyze. We learn. We move on. 6. PURSUE INTELLECTUAL SOLITUDE AROUND A FOCUS INDUSTRY. Intellectual solitude is what promotes and investment theses. My job is to have conviction in things that others have yet to visualize. To find conviction, one needs to pursue things that are personally interesting, not things that everyone thinks are interesting. non-consensus viewpoints Form not an opinion, but your own opinion. For me, the sector of interest is alternative credit scoring vis-à-vis unsecured online lending. My conviction is that P2P lenders will not succeed because the supply-demand imbalance would force the company to access capital markets to meet excess demand for loans, which would eat into the P2P cost advantage. So I’m looking for a ‘full-stack’ lender — one that credit scores (with proprietary and exclusive data), lends through a hybrid balance sheet model, and scales through existing banking distribution channels. Diving deep into a sector and forming your own thesis will help you establish your brand, interact with key operators in the sector, and guide you towards the path of investing into the leading startup in that space. 7. BACK THESIS DRIVEN FOUNDERS IN THE RIGHT MARKETS. When I first started, I fell in love with the wrong products too quickly. I was overly tied to assessing product visions, and analyzed startups based on road maps sketched out by founders. I learnt the following (in order of importance): Markets have an enduring impact on the opportunity set for startups Founders’ ability to execute was what determined success Product road maps will change as founders build experience Instead of obsessing on product, I learnt to spend more time unfolding founders and digging deep into their thesis on how our world is evolving. And I learnt to be intimately aware of my own biases. I learnt to love people and markets more than products. 8. ADMIT LACK OF KNOWLEDGE, THEN LEAN INTO THE EXPERTS. As a team, we see about 15–20 deals a week across 6–8 different markets. Figuring out many different technologies, understanding multiple business models and supporting portfolio companies keep us in a constant state of flux. We’re always discovering new blind spots and figuring out how to plug our knowledge gaps. We’re a team that’s obsessed with learning. We want to be continuously educated by the best entrepreneurs. When I first started, I used to worry that the rate at which I discover what I don’t know far surpasses the rate at which I learn. But I came to grips with the delta between those two boundaries. And I learnt to lean into the experts for advice — this really helped to thin down the delta from ∆b to ∆a. I can’t learn by sitting in the office, only meeting people I know and only reading what I read. I find opposing standpoints, find the antagonists, find new networks, find offbeat ideas. What I learnt from Kuo-Yi and Peng is to not discard what I don’t understand. The biggest ideas usually tap into emergent behaviors that people initially find confounding. Lean into them. Whenever I meet startups or industry experts with Kuo-Yi / Peng, I would watch them probe deeply to understand everything about the tech, the vision of the future and the approach to execution. Their relentless curiosity is a reminder of why I should pursue what I don’t intuitively understand. 9. VC IS LONG-TERM, UNGLAMOROUS SALES WORK. This is something I wish I understood earlier. I’ve come to realize that there is a lot more to being a stellar VC than just investing. And there are more contexts (and subtexts) that the public would never imagine. A VC is constantly selling. We’re always selling ourselves to founders. We’re selling our portfolio companies to partners, customers, potential hires and to later-stage VCs and PE firms. We’re also selling our fund as an investment opportunity to Limited Partners, such as pension funds, sovereign wealth funds, family offices, foundations, university endowment funds, high net worth individuals… the list goes on. Selling is not always fun. Fundraising, for example, has so many disheartening moments when people don’t respond to emails, don’t turn up to meetings, and don’t want to invest but tell you they want to (so they get access to your data room). Sometimes it’ll feel like you’re the only person who takes it seriously. Most importantly, sitting on the sell-side of the table should humble you and make you mindful of how you interact with founders who reach out to you in their own pursuit of funds. Being a VC is not about first class flights or models & bottles. It sure is a hell lot about working in UBER taxis (while stuck in 3-hour traffic jams in Jakarta), replying to entrepreneurs, reading a ton of business plans, conducting due diligence and reference checks, sorting out admin and scheduling meetings, and getting to know a lot of people. I have spent many hours writing investment memos and meeting hundreds of companies that we didn’t eventually invest into. It requires consistency of effort (and a long time) to solidify relationships, to raise a fund, to build a strong deal flow, to help portfolio companies scale, to execute exit opportunities, and to make the hard work pay off. 10. FOUNDERS ARE MORE IMPORTANT THAN VCs. TREAT THEM WITH RESPECT. I’ve been appalled by some of the investor egos I’ve experienced firsthand or heard about from chatting with entrepreneurs. Stories range from inundating startups with irrelevant data requests, to imposing multiple liquidation preferences and full ratchet anti-dilution, to being very unresponsive, to attending BOD meetings without staying up-to-date on company developments. So VCs need to be transparent and to continuously improve their offering to better serve entrepreneurs. VC is a product for entrepreneurs. Here are some good habits I picked up at MHV. : At MHV, we really do our best to respond to founders within a week. It’s simply unfair to string them along as it could waste months of precious time. Writing honest and straightforward “pass notes” to founders was one of the first things I picked up from Kuo-Yi. I thank them, give 2–3 constructive reasons, and offer them to keep us updated with their progress. Say “no” quickly and constructively : Before the pitch, I read their deck, visit their website and browse through their credentials on LinkedIn. I frequently meet founders who are 5–10 years more experienced than me. Preparing enables me to ask relevant questions, which is the base level of respect I can accord to founders. Be prepared and on time : It’s critical to know when one can give advice and when one can’t. I temper my enthusiasm to help with practicality and relevance — it’s pointless (and potentially harmful) to make ineffectual introductions and offer advice not grounded on experience or expertise. It’s OK to concede a lack of ability to help with a market, technology or product that you haven’t properly understood. Partner, not preach THE LAST WORD. I’m very grateful to have had the opportunity to work with a handful of smart, driven and ambitious entrepreneurs. It’s a privilege to have a decently fun job that’s also intellectually challenging. I’ll be the first to acknowledge the many things I haven’t spent enough time learning: dealing with difficult LPs, being a TRULY GREAT board member, and managing struggling portfolio companies. There’s always more we can learn and understand. VC, and technology are moving targets — buckle up and enjoy the ride. Stay humble and hungry. Dimi out. entrepreneurship Check out the original post at: www.monkshill.com/views/10-things-i-learnt-as-a-vc