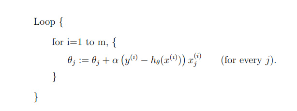
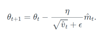
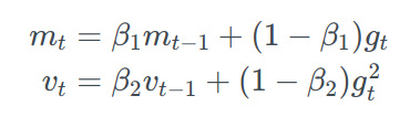
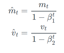
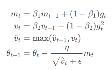
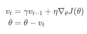
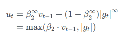
We are going to study Momentum , Nesterov Accelerated Momentum , AdaGrad , AdaDelta , RMSProp , Adam, AdaMax, AMSGrad. Before begin on our topic, let’s understand.. Why do we need Optimization? According to Merriam-Webster dictionary, meaning of the word optimize is “to make as perfect, effective, or functional as possible”. This is the definition to understand why we need Optimization in neural networks. So in machine learning, we perform optimization on the training data and check its performance on a new validation data. We already have a cost function which will tell us about the behavior of our model. Initially, our model contains arbitrary defined parameters like weights and biases and now we need to find the best possible state of those parameters to make a good prediction of unseen data and to do that we need some sort of a mechanism to update the parameters. Now, we do this by a base technique called . In this technique weights are updated by the following method : Gradient Descent J(w) is same as J(θ) Note- In Gradient Descent, we take the whole training set into consideration in an epoch (i.e once every input data is analysed then we update the parameters) but in Stochastic Gradient Descent we take a single data input at a time (i.e once an input data is analysed then we update the parameters). A little more about Stochastic Gradient Descent : In this algorithm, we repeatedly run through the training set, and each time we encounter a training example, we update the parameters according to the gradient of the error with respect to that single training example only. We now have basic understanding of Optimizers. Now, we are able to understand some State of the Art Optimizers. So, let’s begin. Momentum Just alone Gradient Descent does not work well in scenarios like steep gorge(local minima). Thus, making slow progress around the local minima. is a method that helps accelerate SGD in the right direction and dampens oscillations. It adds a fraction γ of the update vector of the past time step to the current update vector. Momentum The momentum term increases for dimensions whose gradients point in the same directions and reduces updates for dimensions whose gradients change directions. Nesterov Accelerated Momentum The problem with Momentum is that around the local minima its value is so high that it overshoots the minima and again continues to find local minima resulting in an ever going process.So, to make the momentum in check Nesterov suggested Nesterov Accelerated Momentum . The core idea behind Nesterov accelerated momentum is that when the current parameter vector is at some position , then looking at the momentum update above, we know that the momentum term alone (i.e. ignoring the second term with the gradient) is about to nudge the parameter vector by . Therefore, if we are about to compute the gradient, we can treat the future approximate position as a “lookahead” - this is a point in the vicinity of where we are soon going to end up. Hence, it makes sense to compute the gradient at instead of at the “old/stale” position . x mu * v x + mu * v x + mu * v x AdaGrad(Adaptive Gradient) allows the learning rate to adapt based on the parameters. AdaGrad t ∈ ℝd×d here is a diagonal matrix where each diagonal element i,i is the sum of the squares of the gradients w.r.t. i up to time step t, while ϵ is a smoothing term that avoids division by zero (usually on the order of 1e−8) G θ The main benefit of using AdaGrad is that it eliminates the need to manually tune the learning rate. Just set the learning rate to 0.01 and leave it that way the algorithm will update it at every time step. It’s main weakness is its accumulation of the squared gradients in the denominator: Since every added term is positive, the accumulated sum keeps growing during training. This in turn causes the learning rate to shrink and eventually become infinitesimally small, at which point the algorithm is no longer able to acquire additional knowledge. AdaDelta To reduce the aggressiveness, strictly decreasing learning rate of AdaGrad, is used. Instead of accumulating all past squared gradients, it holds the accumulated past gradients to some fixed size . AdaDelta w Instead of storing previous squared gradients, the sum of gradients is recursively defined as a decaying average of all past squared gradients. w We set γ to around 0.9 RMSProp The only difference between and is that a term ₜ⁺₁ is introduced. RMSProp AdaDelta m RMSprop and Adadelta have both been developed independently around the same time developed for the need to resolve Adagrad’s radically diminishing learning rates. RMSProp is proposed by Geoff Hinton but it remained unpublished. Adam(Adaptive Moment Estimation) is another algorithm that computes adaptive learning rates(η) of each parameter. The main difference is that instead of just storing an exponentially decaying average of past gradients ( ₜ) like momentum it also stores exponentially decaying average of past squared gradients ( ₜ) like RMSProp and AdaDelta. Adam m v As ₜ and ₜ are initialized as 0 vectors, they are biased towards 0, and especially when the decay rates are small (i.e. β₁ and β₂ are close to 1). Therefore, to overcome this issue ₜ and ₜ is calculated. m v m cap v cap Now, we just have to write an expression for updating our parameters as we did in other optimizers. AdaMax is a variant of Adam based on the infinity norm. In Adam update rule scales the gradient inversely proportionally to the 𝔩₂ norm of the past gradients ( ₜ-₁) and the current gradient term(| ₜ|²) instead of this we can generalize the update to the 𝔩ₚ norm. Adamax v g putting p →∞ , To avoid confusion with Adam, ₜ is used to define the infinity norm-constraint instead of ₜ: u v Finally, we can now put this ₜ in the Adam update equation by replacing with √^vₜ + ϵ : u Note that as ₜ relies on the max operation, it is not as suggestible to bias towards zero as ₜ and ₜ in Adam, which is why we do not need to compute a bias correction for ₜ. Good default values are again η=0.002, β₁=0.9 and β₂=0.999 . u m v u AMSGrad uses the maximum of past squared gradients ₜ rather than the exponential average to update the parameters. AMSGrad v The full AMSGrad update is : For simplicity, the authors remove the debiasing step that we have seen in Adam. The only reason biasing is introduced in the first place is because we don’t want our model to become bias towards 0 so to prevent this we use biasing. Which Optimizer to use and when ? Not every Optimizer is good for every situation we need to determine which optimizer is best according to our task. Some optimizer works better in Computer Vision tasks, others works better when it comes to RNNs and some of them are better when the input data is sparse. The main benefit of adaptive learning-rate(η) based optimizers is that we don’t need to tune learning-rate but we still can achieve best results with the default values. RMSprop is an extension of AdaGrad that deals with its rapidly diminishing learning rates. It is very identical to AdaDelta, except that AdaDelta uses the RMS of parameter updates in the numerator update rule. Adam, finally, adds bias-correction and momentum to RMSprop. RMSprop, AdaDelta, and Adam are very similar algorithms that do well in similar circumstances. The bias-correction helps Adam slightly outperform RMSprop towards the end of optimization as gradients become sparser. Summary, S . o far, Adam might be the best overall choice Reference taken from ADAM: A METHOD FOR STOCHASTIC OPTIMIZATION For preventing the learning rates to become infinitesimally small as training progresses, AdaDelta introduces the concept of exponential average of squared gradients upto a fixed ω. However, this short-term memory of gradients becomes an obstacle in other ways. Adam also uses this short-term memory feature. It has been observed that some minibatches provide large and important gradients but occurs rarely resulting diminishing their influence, which leads to poor convergence. To solve this issue AMSgrad is used which uses the maximum of past squared gradients vₜ rather than the exponential average to update the parameters. the two plots compare the training and test loss of ADAM and AMSGRAD with respect to the iterations for CIFARNET. Reference is taken from ON THE CONVERGENCE OF ADAM AND BEYOND References [1] http://proceedings.mlr.press/v28/sutskever13.pdf [2] http://www.jmlr.org/papers/volume12/duchi11a/duchi11a.pdf [3] https://arxiv.org/pdf/1212.5701.pdf [4] https://arxiv.org/pdf/1412.6980.pdf [5] https://www.sciencedirect.com/science/article/pii/S0893608098001166?via%3Dihub [6] https://keras.io/optimizers/ [7] http://www.satyenkale.com/papers/amsgrad.pdf