247 reads
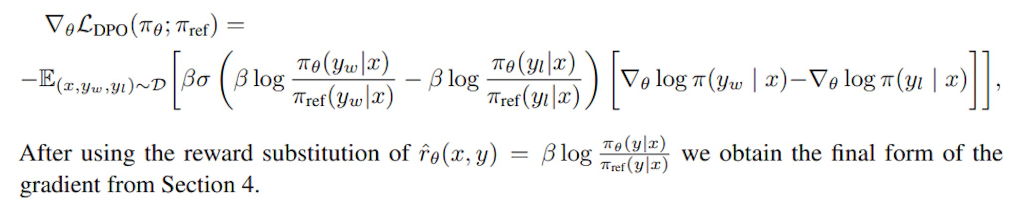
Deriving the Gradient of the DPO Objective
by
August 26th, 2024
Audio Presented by

We publish the best academic papers on rule-based techniques, LLMs, & the generation of text that resembles human text.
Story's Credibility

About Author
We publish the best academic papers on rule-based techniques, LLMs, & the generation of text that resembles human text.
